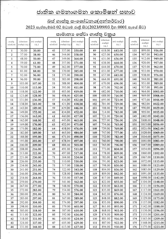
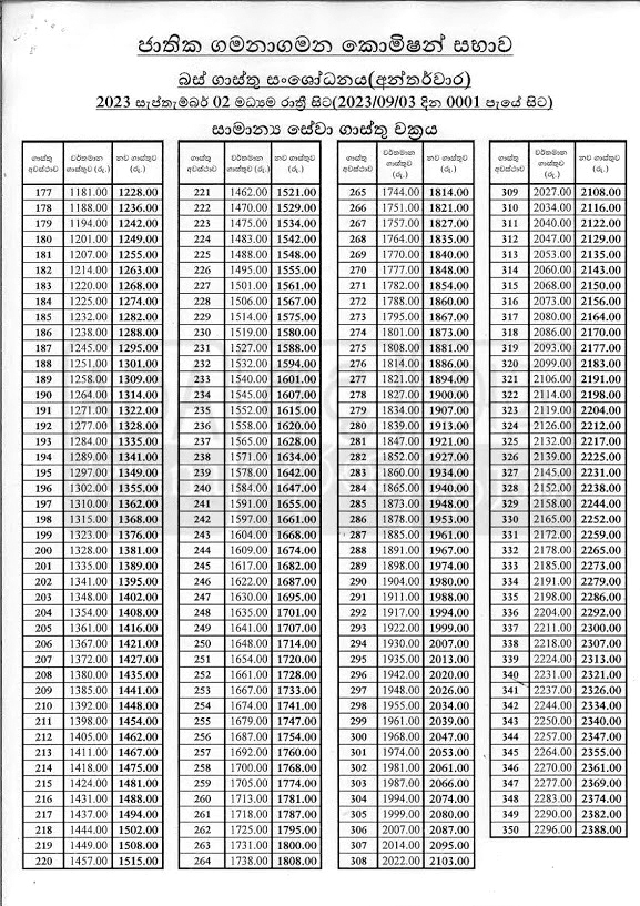
අද (02) මධ්යම රාත්රියේ සිට ක්රියාත්මක වන පරිදි බස් ගාස්තු ඉහළ දැමීමට ජාතික ගමනා ගමන කොමිෂන් සභාව තීරණය කර ඇති බව වාර්තා වේ.
ඒ අනුව බස් ගාස්තුව සියයට 4.01කින් ඉහළ යන අතර, ජාතික ගමනා ගමන කොමිෂන් සභාව පවසන්නේ අවම බස් ගාස්තුවේ වෙනසක් සිදුනොවන බවය.
එම කොමිසම වැඩිදුරටත් සඳහන් කරන්නේ මෙම බස් ගාස්තු සංශෝධනයට අදාළව අධිවේගී බස් ගාස්තු ද ඉහළ දමන බවයි.


ඉන්දු - ලංකා ගිවිසුම නීති විරෝධී ගිවිසුමක් බවත්, ඒකීය රට ෆෙඩරල් කිරීම හරහා බෙදීමට කිසිසේත්ම ඉඩදිය නොහැකි බවත් මහා විහාර වංශික ශ්ය...
අනුරාධපුර දිස්ත්රික් පාර්ලිමේන්තු මන්ත්රී ජනප්රිය රංගන ශිල්පී උද්දික ප්රේමරත්න මහතාගේ මෝටර් රථයට කිසියම් ...
රජිව් ගාන්ධි ඝාතනය සම්බන්ධයෙන් වරදකරුවන් වී දඬුවම් ලැබ සිට පසුව නිදහස ලැබූ ශ්රී ලාංකිකයන් 4 දෙනා නැවතත් ශ්රී ලංකාවට එවීමට...